[Silver III] queuestack - 24511
성능 요약
메모리: 80628 KB, 시간: 164 ms
분류
자료 구조, 덱, 큐, 스택
제출 일자
2024년 1월 2일 22:02:41
문제 설명
한가롭게 방학에 놀고 있던 도현이는 갑자기 재밌는 자료구조를 생각해냈다. 그 자료구조의 이름은 queuestack이다.
queuestack의 구조는 다음과 같다. 1번, 2번, ... , N번의 자료구조(queue 혹은 stack)가 나열되어있으며, 각각의 자료구조에는 한 개의 원소가 들어있다.
queuestack의 작동은 다음과 같다.
- x0을 입력받는다.
- x0을 1번 자료구조에 삽입한 뒤 1번 자료구조에서 원소를 pop한다. 그때 pop된 원소를 x1이라 한다.
- x1을 2번 자료구조에 삽입한 뒤 2번 자료구조에서 원소를 pop한다. 그때 pop된 원소를 x2이라 한다.
- ...
- xN−1을 N번 자료구조에 삽입한 뒤 N번 자료구조에서 원소를 pop한다. 그때 pop된 원소를 xN이라 한다.
- xN을 리턴한다.
도현이는 길이 M의 수열 C를 가져와서 수열의 원소를 앞에서부터 차례대로 queuestack에 삽입할 것이다. 이전에 삽입한 결과는 남아 있다. (예제 1 참고)
queuestack에 넣을 원소들이 주어졌을 때, 해당 원소를 넣은 리턴값을 출력하는 프로그램을 작성해보자.
입력
첫째 줄에 queuestack을 구성하는 자료구조의 개수 N이 주어진다. (1≤N≤100000)
둘째 줄에 길이 N의 수열 A가 주어진다. i번 자료구조가 큐라면 Ai=0, 스택이라면 Ai=1이다.
셋째 줄에 길이 N의 수열 B가 주어진다. Bi는 i번 자료구조에 들어 있는 원소이다. (1≤Bi≤1000000000)
넷째 줄에 삽입할 수열의 길이 M이 주어진다. (1≤M≤100000)
다섯째 줄에 queuestack에 삽입할 원소를 담고 있는 길이 M의 수열 C가 주어진다. (1≤Ci≤1000000000)
입력으로 주어지는 모든 수는 정수이다.
출력
수열 C의 원소를 차례대로 queuestack에 삽입했을 때의 리턴값을 공백으로 구분하여 출력한다.
풀이
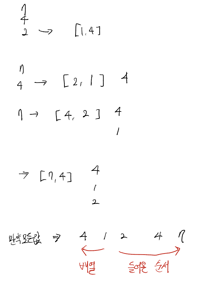
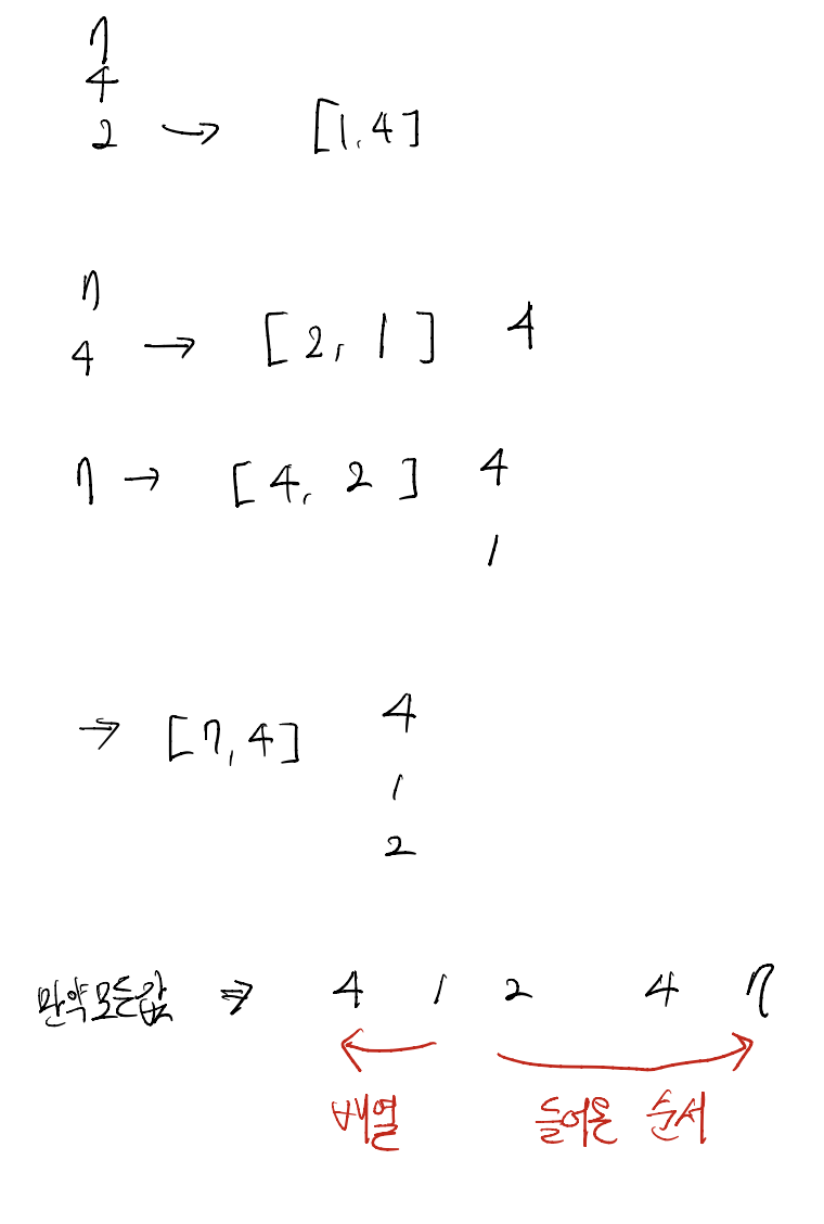
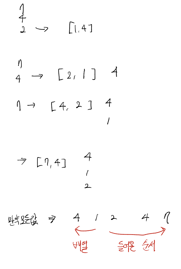
우선 해당 문제의 예시를 풀어보았습니다.

풀이를 보았을 때, 사실 스택은 아무 의미가 없고, 큐에 따라 정해짐을 알 수 있었습니다.
따라서 큐인 것들만 배열에 추가하고, 다시 만들어보았습니다.

이러한 규칙이 발견되었습니다.
따라서 queuestack에 삽입할 원소는 위의 순서대로 진행하면 됨을 알 수 있습니다.
만약 m(삽입할 원소의 개수)이 큐보다 크다면, 큐에 있는 값을 reverse해준 뒤 출력해주고,
남은 만큼 들어온 순서에 대한 값을 출력해주면 됩니다.
다음은 코드입니다.
let n = Int(readLine()!)!
let a = readLine()!.split(separator: " ").map{ Int(String($0))! }
let b = readLine()!.split(separator: " ").map{ Int(String($0))! }
var m = Int(readLine()!)!
let c = readLine()!.split(separator: " ").map{ Int(String($0))! }
var queue = [Int]()
var ans = ""
for i in 0..<a.count {
if a[i] == 0 { // 큐 일때만 추가 (스택은 의미가 없음)
queue.append(b[i])
}
}
// m이 queue에 있는 개수보다 많거나 같을 때 -> queue에 있는 것들 + 삽입된 원소들 추가
if m >= queue.count {
for i in queue.reversed() {
ans += "\(i) "
}
for i in 0..<m - queue.count {
ans += "\(c[i]) "
}
} else { // m이 더 queue에 있는 개수보다 더 적을 때 -> queue에 있는 것들만 해도 충분
for i in stride(from: queue.count - 1, to: queue.count - m - 1, by: -1) {
ans += "\(queue[i]) "
}
}
print(ans)'PS > BOJ' 카테고리의 다른 글
| [백준(BOJ)] 2110 공유기 설치 - 스위프트 (Swift) (0) | 2024.01.16 |
|---|---|
| [백준(BOJ)] 3078 좋은 친구 - 스위프트 (Swift) (2) | 2024.01.03 |
| [백준(BOJ)] 1427 소트인사이드 - 스위프트 (Swift) (2) | 2024.01.03 |
| [백준(BOJ)] 5397 키로거 - 스위프트 (Swift) (0) | 2024.01.03 |
| [백준(BOJ) 1966 프린터 큐 - 스위프트 (Swift) (0) | 2024.01.02 |